2017国家公务员考试笔试即将到来,中公教育专家在考前特总结资料分析常用的公式供考生识记,希望能在考试中帮助考生快速答题。
1.增长
①同比增长

②环比增长

③年均增长
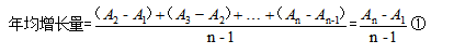
年均增长量指一段时间内某一数据指标平均每年增长的数量。如某指标第1年的值为A1,第2年的值为A2,……,第n年的值为An,则

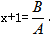
年均增长率是指一段时间内某一数据指标平均每年的增长幅度。如果第1年的为A,第n+1年为B,这n年的年均增长率为
,则:

考查方式一:已知第m年的数据指标为A,年均增长率为
,求第n年的数据指标B。根据二项展开式可得:
。当年均增长率
<10%,且选项间差距较大时,
,则:

考查方式二:已知第m年的数据指标为A,第n年为B,求年均增长率
。第n年相对于第m 年的增长率为x,且
,即
。根据公式②可知,
,则有
,根据二项展开式可得:
。在题目选项差值比较大的情况下,一般使用公式x>(n-m)
,即
④拉动增长
百分数、百分点:
考查方式一:“降低(增加)了a%”和“降低(增加)为a%”
“降低了a%”即过去为100,现在为100-a,“降低为a%”即过去为100,现在为a;
“增加了a%”即过去为100,现在为100+a,“增加为a%”即过去为100,现在为a。
考查方式二:区分“占”、“超”、“为”、“比”
“XX占AA 的a%”即AA为100,XX为a,则XX占AA的a%;
“XX超AAa%”即AA是100,XX是100+a,则XX超AAa%;
“XX为AA 的a%”即AA为100,XX为a,则XX为AA的a%
“XX比AA增长了a%”即AA为100,XX为100+a,则XX比AA增长(100+a-100)%=a%。
责任编辑(姚微)
设为首页 | 加入收藏 | 资讯 | 吉林公务员 | 国家公务员 | 事业单位 | 教师 | 医疗招聘 | 银行招聘 | 农信社 | 招警 | 国企招聘 | 公选/遴选 | 会计取证 | 社区 | 选调生 | 三支一扶 | 友情链接
Copyright©1999-2018 北京中公教育科技股份有限公司 .All Rights Reserved电 话:0439-6905076 6905078 6905079 6905033 地 址:白山市合兴商务中心16层1666室
京ICP备10218183号 京ICP证161188号
京公网安备11010802020593号 出版物经营许可证新出发京批字第直130052号
吉林中公教育—国家、吉林公务员考试培训辅导
中公教育—公职考试培训辅导